济南282个老旧小区整治!快看你家在不在范围内(附详细名单)
2017-08-16 09:54:31 来源: 济南时报、山东商报
垃圾清理不及时、
回家找不到停车位、
“黑灯瞎火”看不见道儿……
相信生活在老旧小区的市民或多或少
都有这样的困扰,
这些烦恼很快将被解决。
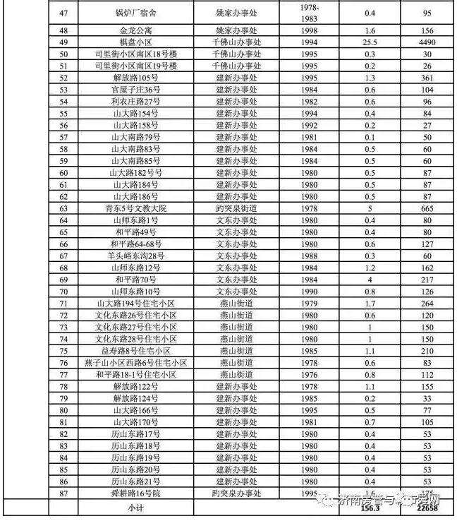
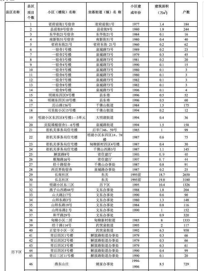
15日,记者从市城市更新局获悉,今年济南市计划完成建筑面积约700万平方米、282个老旧小区(含楼房院落和单栋楼宇)的整治,同时协调推进老旧小区整治与专业经营设施改造、建筑节能改造等工作。
9万余户家庭将受益
历下区要改造的小区最多
据了解,济南282个老旧小区整治分四大方面:完善治安防控和消防设施、清理违章和配齐环卫设施、改善小区环境设施和立面出新以及改造小区基础配套设施和弱电线路落地。其中历下区改造项目及户数最多,包括棋盘小区等87个项目;市中区有省委一宿舍、林祥南街小区等46个项目;历城区有济钢新村等29个项目;槐荫区有匡山小区等27个项目;天桥区有北村东西社区等22个项目;章丘、长清、济阳、平阴项目数分别为20个、7个、5个及39个。整治时间从今年4月持续至11月30日,9万余户家庭将受益。
俗话讲“说得好不如做得好”,
具体整治咋铺开?
都是哪些部门在负责?
相关工作人员表示,改造将首先拟定整治方案,编制整治工程推进计划,待审批结束后就可以依法招标采购。接下来,各街道办事处将依法办理招标或政府采购手续,确定整治工程的施工、监理单位和有关设施设备等成品供应商。涉及水电暖、通信、有线电视线路改造和既有建筑节能改造、海绵城市建设工程的,由相关主体依法完成招标工作。
考核结果与奖补资金挂钩
减1分占投资比降0.5%
年度考核结果将与市财政向各县区拨付的奖补资金挂钩,并通过新闻媒体向社会公示。小区整治工程竣工验收合格后,县区委托的跟踪审计机构应及时出具工程造价审计报告,并由县区政府报市老旧小区领导小组。市财政局按照工程造价审计报告和市老旧小区整治领导小组对各县区年度整治工作考核成绩进行奖补资金的清算。
2017年度小区整治工作考核成绩为满分(100分),省市奖补资金占县区小区整治总投资的比例为:历下区、市中区为55%,槐荫区、天桥区及章丘区为70%,历城区为65%,长清区、济阳县、平阴县、商河县为75%。考核成绩达不到100分的,每降低1分,省市奖补资金占总投资的比例相应降低0.5%。
市中区
历下区
天桥区
槐荫区
历城区
平阴县

-
济南市以项目提升强产业暖民生
2025-12-11
-
济南地铁4、7、8、9号线,有最新消息
2025-12-10
-
济南西客站片区三条道路贯通 路网升级助力商业综合体发展
2025-12-09
-
济南“第一高”塔冠二层单元体幕墙安装近半
2025-12-09
-
西城片区核心地段综合体建设最新进展→
2025-12-08


