山东:去年338.2万职工提取住房公积金848.15亿元
2019-04-30 09:41:37 来源: 凤凰网
4月28日,山东省住房和城乡建设厅、山东省财政厅、中国人民银行济南分行印发《山东省住房公积金2018年年度报告》。
山东省住房公积金2018年年度报告(摘要)
一、机构概况
(一)住房公积金管理机构:全省共设17个设区城市住房公积金管理中心(含原莱芜市住房公积金管理中心),4个独立设置的分中心(其中,济南住房公积金管理中心山东电力集团分中心隶属国网山东省电力公司,济南住房公积金管理中心济南铁路分中心隶属中国铁路济南局集团有限公司,东营市住房公积金管理中心胜利油田分中心隶属中国石化集团胜利石油管理局有限公司,原莱芜市住房公积金管理中心莱钢分中心隶属莱芜钢铁集团有限公司)。从业人员2738人,其中在编1610人,非在编1128人。
(二)住房公积金监管机构:省住房城乡建设厅、省财政厅和人民银行济南分行负责对全省住房公积金管理运行情况进行监督。省住房城乡建设厅设立住房公积金监管处,负责全省住房公积金日常监管工作。
二、业务运行情况
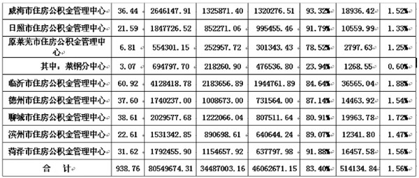
(一)缴存:2018年,新开户单位23415家, 实缴单位148004家,净增单位18155家;新开户职工106.71万人,实缴职工938.76万人,净增职工44.7万人;缴存额1197.21亿元,同比增长14.89%。2018年末,缴存总额8054.97亿元,同比增长17.46%;缴存余额3448.7亿元,同比增长11.26%。
(二)提取:2018年,提取额848.15亿元,同比增长19.06%;占当年缴存额的70.84%,比上年增加2.47个百分点。2018年末,提取总额4606.27亿元,同比增长22.57%。
(三)贷款
1.个人住房贷款:2018年,发放个人住房贷款17.48万笔616.57亿元,同比下降8.43%、6.42%。回收个人住房贷款329.93亿元。
2018年末,累计发放个人住房贷款201.46万笔4847.01亿元,贷款余额2875.76亿元,同比分别增长9.5%、14.57%、11.07%。个人住房贷款余额占缴存余额的83.39%,比上年减少0.14个百分点。
2.住房公积金支持保障性住房建设项目贷款:2018年,未发放支持保障性住房建设项目贷款,回收项目贷款0.19亿元。 2018年末,累计发放项目贷款23.20亿元,已全部结清。
(四)购买国债:2018年,未购买国债,未兑付、转让、收回国债,国债余额0.34亿元,比上年同期持平。
(五)资金存储:2018年末,住房公积金存款612.33亿元。其中,活期14.28亿元,1年(含)以下定期141.71亿元,1年以上定期219.82亿元,其他(协定、通知存款等)236.52亿元。
(六)资金运用率:2018年末,住房公积金个人住房贷款余额、项目贷款余额和购买国债余额的总和占缴存余额的83.4%,比上年减少0.15个百分点。
三、主要财务数据
(一)业务收入:2018年,业务收入1059016.85万元,同比增长9.88%。其中,存款利息收入165927.46万元,委托贷款利息889791.32万元,其他3298.07万元。
(二)业务支出:2018年,业务支出544882.01万元,同比增长6.65%。其中,支付职工住房公积金利息492032.58万元,归集手续费用13263.01万元,委托贷款手续费35070.29万元,其他4516.13万元。
(三)增值收益:2018年,增值收益514134.84万元,同比增长13.52%;增值收益率1.56%,比上年增加0.02个百分点。
(四)增值收益分配:2018年,提取贷款风险准备金55568.31万元,提取管理费用56275.35万元,提取城市廉租住房(公共租赁住房)建设补充资金402291.18万元。
2018年,上交财政管理费用45061.95万元,上缴财政城市廉租住房(公共租赁住房)建设补充资金290900.25万元。
2018年末,贷款风险准备金余额576745.83万元,累计提取城市廉租住房(公共租赁住房)建设补充资金2548762.2万元。
(五)管理费用支出:2018年,管理费用支出54267.55万元,同比下降4.54%。其中,人员经费22895.29万元,公用经费11826.1万元,专项经费19546.16万元。
四、资产风险状况
(一)个人住房贷款:2018年末,个人住房贷款逾期额8339.95万元,逾期率0.29‰。
2018年,提取个人贷款风险准备金57278.31万元,使用个人贷款风险准备金核销呆坏账-3.57万元。2018年末,个人贷款风险准备金余额576745.83万元,占个人贷款余额的2.01%,个人贷款逾期额与个人贷款风险准备金余额的比率为1.45%。
(二)住房公积金支持保障性住房建设项目贷款:2018年末,无逾期项目贷款。
2018年,冲回以前年度提取的项目贷款风险准备金1710万元,未使用项目贷款风险准备金核销呆坏账。2018年末,项目贷款已全部结清。
五、社会经济效益
(一)缴存业务:2018年,实缴单位数、实缴职工人数和缴存额增长率分别为13.98%、5%和14.89%。
缴存单位中,国家机关和事业单位占24.62%,国有企业占11.65%,城镇集体企业占4.05%,外商投资企业占3.91%,城镇私营企业及其他城镇企业占43.49%,民办非企业单位和社会团体占2.88%,其他占9.4%。
缴存职工中,国家机关和事业单位29.89%,国有企业占25.16%,城镇集体企业占4.77%,外商投资企业占6.13%,城镇私营企业及其他城镇企业占24.76%,民办非企业单位和社会团体占1.8%,其他占7.49%;中、低收入占97.68%,高收入占2.32%。
新开户职工中,国家机关和事业单位13.22%,国有企业占16.49%,城镇集体企业占5.81%,外商投资企业占7.84%,城镇私营企业及其他城镇企业占41.37%,民办非企业单位和社会团体占3.12%,其他占12.15%;中、低收入占99.44%,高收入占0.56%。
(二)提取业务: 2018年,338.2万名缴存职工提取住房公积金848.15亿元。
提取金额中,住房消费提取占79.33%(购买、建造、翻建、大修自住住房占29.23%,偿还购房贷款本息占43.88%,租赁住房占1.79%,其他占4.43%);非住房消费提取占20.67%(离休和退休提取占16.28%,完全丧失劳动能力并与单位终止劳动关系提取占1.43%,户口迁出所在市或出境定居占0.46%,其他占2.5%)。
提取职工中,中、低收入占95.19%,高收入占4.81%。
(三)贷款业务
1.个人住房贷款:2018年,支持职工购建房2157.58万平方米。年末个人住房贷款市场占有率为15.52%,比上年同期减少0.51个百分点。通过申请住房公积金个人住房贷款,可节约职工购房利息支出1329146.56万元。
职工贷款笔数中,购房建筑面积90(含)平方米以下占14%,90-144(含)平方米占67%,144平方米以上占19%;购买新房占79.47%(其中购买保障性住房占0.34%),购买二手房占19.94%,其他占0.59%。
职工贷款笔数中,单职工申请贷款占37.68%,双职工申请贷款占62.16%,三人及以上缴存职工共同申请贷款占0.16%。
贷款职工中,30岁(含)以下占25.91%,30-40岁(含)占40.36%,40-50岁(含)占25.85%,50岁以上占7.88%;首次申请贷款占80.96%,二次及以上申请贷款占19.04%;中、低收入占97.32%,高收入占2.68%。
2.异地贷款:2018年,发放异地贷款6207笔223281.8万元。2018年末,发放异地贷款总额1070307.41万元,异地贷款余额885019.61万元。
3.公转商贴息贷款:2018年,发放公转商贴息贷款1703笔52028.48万元,支持职工购建房面积22.35万平方米。当年贴息额4195.42万元。2018年末,累计发放公转商贴息贷款15393笔494928.8万元,累计贴息9507.61万元。
4.住房公积金支持保障性住房建设项目贷款:2018年末,全省累计有住房公积金试点城市4个,试点项目22个,贷款额度23.2亿元,建筑面积共172.77万平方米,可解决22297户中低收入职工家庭的住房问题。22个试点项目贷款资金已发放并还清贷款本息。
(四)住房贡献率:2018年,个人住房贷款发放额、公转商贴息贷款发放额、项目贷款发放额、住房消费提取额的总和与当年缴存额的比率为108.14%,比上年减少11.5个百分点。

-
以城市更新助力“稳楼市”
2025-12-11
-
多地“十五五”规划建议发布,房地产怎么“走”?
2025-12-09
-
2025年末倒计时楼市迎来“收官之战”
2025-12-05
-
楼市暖冬信号,11月二手房成交全线回暖
2025-12-05
-
国务院第十七次专题学习:房地产迎来哪些新指引?
2025-12-04


